Uma lista com 10 exercícios resolvidos para você entender de vez como resolver sistemas lineares, usando a eliminação gaussiana (escalonamento) ou a Regra de Cramer.
Um sistema de equações lineares ou sistema linear é um conjunto formado por duas ou mais equações lineares. Um sistema linear pode ser representado na forma: $$ \left\{ \begin{array}{lll} a_{11} x_1 + a_{12} x_2 +…+a_{1n} x_n & = & b_1\\ a_{21} x_1 + a_{22} x_2 +…+a_{2n} x_n & = & b_2\\ \vdots \\ a_{m1} x_1 + a_{m2} x_2 +…+a_{mn} x_n & = & b_m\\ \end{array} \right. \qquad (1)$$ onde, cada um dos a_{ij}são os coeficientes, x_i são as incógnitas e b_i são os termos independentes. Uma sequencia de números (r_1,r_2,...,r_n), chamada é solução do sistema linear acima se satisfaz todas as equações do sistema ao mesmo tempo. Se m = n dizemos que o sistema linear é de ordem n .
O número de soluções de um sistema linear determina a sua classificação de duas maneiras com relação à sua consistência:
- Sistema possível ou consistente: Quando tem pelo menos uma solução. Se tem uma única solução, o sistema é determinado. Se tem mais que uma solução, o sistema é indeterminado.
- Sistema impossível ou inconsistente: Se não admite qualquer solução. Dois sistemas são equivalentes se admitem a mesma solução. Dois sistemas S_1 e S_2 equivalentes são denotados por S_1 \sim S_2.
Um sistema linear na forma: $$ \left\{ \begin{array}{lll} a_{11} x_1 + a_{12} x_2 +…+a_{1n} x_n & = & b_1\\ a_{21} x_1 + a_{22} x_2 +…+a_{2n} x_n & = & b_2\\ \vdots \\ a_{n1} x_1 + a_{n2} x_2 +…+a_{nn} x_n & = & b_m\\ \end{array} \right. \qquad (1) $$ pode ser representado na forma $$ A \times X = B $$ onde $$ A = \left[ \begin{array}{cccc} a_{11} & a_{12} & \ldots & a_{1n} \\ a_{21} & a_{22} & \ldots & a_{2n} \\ \vdots & \ddots & \cdots & \vdots \\ a_{n1} & a_{n2} & \cdots & a_{nn}\\ \end{array} \right] $$ é a matriz dos coeficientes do sistema, $$ X = \left[ \begin{array}{cccc} x_1 \\ x_2 \\ \vdots \\ x_n\\ \end{array} \right] $$ é a matriz das incógnitas e $$ B = \left[ \begin{array}{cccc} b_{1} \\ b_{2} \\ \vdots \\ b_n\\ \end{array} \right] $$ é a matriz dos termos independentes. Portanto, uma forma de solucionar o sistema linear (1) é $$ X = \frac{1}{\text{det} (A) } \left[ \text{cof} (A) \right]^{T} \times B.$$
Desta fórmula também surge a regra de Cramer foi formada e desenvolvida pelo grande matemático Gabriel Cramer na década de 1750 . Ele usou o método de Cramer para encontrar a solução de um sistema de equações com [/katex] n [/katex] variáveis e o mesmo número de equações. Gabriel Cramer trabalhou em análise e determinantes. Ele é mais conhecido por sua fórmula para resolver equações simultâneas. Neste caso, $$x_k = \frac{\text{det} \left( \Delta _k \right) }{\text{det} \left( A \right)}, \qquad k = 1,2,3, \cdots, n .$$ Esta fórmula dá a solução do sistema $$ A \times X = B $$ quando \text{det} (A) \neq 0, ou seja, a matriz A é inversível, é conhecida como Regra de Cramer.
Outra forma de solucionar sistemas lineares é o escalonamento, ou a Eliminação Gaussiana, um algoritmo constantemente usado para resolver este qualquer tipo de sistema linear e entender este processo é o nosso objetivo a partir de agora. Pode-se provar que todo sistema linear é equivalente a um sistema escalonado. Desta forma, basta que saibamos lidar com os sistemas escalonados e saibamos reduzir um sistema qualquer a um escalonado para usar a eliminação gaussiana.
Lista de 10 Exercícios Resolvidos Sobre Sistemas Lineares
1) Resolva os sistemas lineares abaixo pela Regra de Cramer:
a) \left\{ \begin{array}{lll} 2x +3y & = & 8 \\ x - y & = & -1 \\ \end{array} \right. ;
SOLUÇÃO:
Calculemos inicialmente \text{det} \left( A \right) , \text{det} \left( \Delta _1 \right) , \text{det} \left( \Delta _2 \right) : $$ \text{det} \left( A \right) = \left| \begin{array} {cc} 2 & 3 \\3 & -2\\ \end{array} \right| = – 4 -9 = -13 \\ \text{det} \left( \Delta _1 \right) = \left| \begin{array} {cc} 8 & 3 \\ -1 & -2\\ \end{array} \right| = -16 + 3 = -13 \\ \text{det} \left( \Delta _2 \right) = \left| \begin{array} {cc} 2 & 8 \\ 3 & -1\\ \end{array} \right| = -2 – 24 = -26.$$ Como \text{det} \left( A \right) = -13 \neq 0 o sistema é possível e determinado e $$ x = \frac{\text{det} \left( \Delta _1 \right)}{\text{det} \left( A\right)} = \frac{-13}{-13} = 1 ; \qquad y = \frac{\text{det} \left( \Delta _2 \right)}{\text{det} \left( A \right)} = \frac{-26}{-13} = 2$$ Portanto, S = (1,2) e o sistema é possível e determinado.
b) \left\{ \begin{array}{lll} 3x - y + z & = & 5 \\ x+3y & = & 7 \\ 2x + y - 2z & = & -4 \\ \end{array} \right. ;
SOLUÇÃO:
Calculemos inicialmente \text{det} \left( A \right) , \text{det} \left( \Delta _1 \right) , \text{det} \left( \Delta _2 \right) e \text{det} \left( \Delta _3 \right) : $$ \text{det} \left( A \right) = \left| \begin{array} {cc} 3 & -1 & 1 \\ 1 & 3 & 0\\ 2 & 1 & -2 \end{array} \right| =-18 + 0 +1 -6 -0 -2 = -25 \\ \text{det} \left( \Delta _1 \right) = \left| \begin{array} {cc} 5 & -1 & 1 \\ 7 & 3 & 0\\ -4 & 1 & -2 \end{array} \right| = -30+0+7+12-0-14 = -25 \\ \text{det} \left( \Delta _2 \right) = \left| \begin{array} {cc} 3 & 5 & 1 \\ 1 & 7 & 0\\ 2 & -4 & -2 \end{array} \right| =-42+0-4-14-0+10 = -50. \\ \text{det} \left( \Delta _3 \right) = \left| \begin{array} {cc} 3 & -1 & 5 \\ 1 & 3 & 7\\ 2 & 1 & -4 \end{array} \right| =-36-14+5-30-21-4 = -100.$$ Como \text{det} \left( A \right) = -25 \neq 0 o sistema é possível e determinado e $$ x = \frac{\text{det} \left( \Delta _1 \right)}{\text{det} \left( A\right)} = \frac{-25}{-25} = 1 ; \qquad y = \frac{\text{det} \left( \Delta _2 \right)}{\text{det} \left( A \right)} = \frac{-50}{-25} = 2; \qquad z = \frac{\text{det} \left( \Delta _3 \right)}{\text{det} \left( A \right)} = \frac{-100}{-25} = 4$$ Portanto, S = (1,2,4) e o sistema é possível e determinado.
c) \left\{ \begin{array}{lll} 5x - 2y + 2z & = & 2 \\ 3x+y +4z & = & -1 \\ 4x -3 y + z & = & 3 \\ \end{array} \right. ;
SOLUÇÃO:
Calculemos inicialmente \text{det} \left( A \right) , \text{det} \left( \Delta _1 \right) , \text{det} \left( \Delta _2 \right) e \text{det} \left( \Delta _3 \right) : $$ \text{det} \left( A \right) = \left| \begin{array} {cc} 5 & -2 & 2 \\ 3 & 1 & 4\\ 4 & -3 & 1 \end{array} \right| = 13\\ \text{det} \left( \Delta _1 \right) = \left| \begin{array} {cc} 2 & -2 & 2 \\ -1 & 1 & 4\\ 3 & -3 & 1\end{array} \right| = 0 \\ \text{det} \left( \Delta _2 \right) = \left| \begin{array} {cc} 5 & 2 & 2 \\ 3 & -1 & 4\\ 4 & 3 & 1 \end{array} \right| = -13\\ \text{det} \left( \Delta _3 \right) = \left| \begin{array} {cc} 5 & -2 & 2 \\ 3 & 1 & -1 \\ 4 & -3 & 3 \end{array} \right| =0.$$ Como \text{det} \left( A \right) = 13 \neq 0 o sistema é possível e determinado e $$ x = \frac{\text{det} \left( \Delta _1 \right)}{\text{det} \left( A\right)} = \frac{0}{13} = 0 ; \qquad y = \frac{\text{det} \left( \Delta _2 \right)}{\text{det} \left( A \right)} = \frac{-13}{13} = -1; \qquad z = \frac{\text{det} \left( \Delta _3 \right)}{\text{det} \left( A \right)} = \frac{0}{13} = 0$$ Portanto, S = (0,-1,0) e o sistema é possível e determinado.
2) Discuta os sistemas lineares abaixo quanto a sua solução:
a) \left\{ \begin{array}{lll} x + y +2z & = & 1 \\ 2y-z & = & 2 \\ \end{array} \right. ;
SOLUÇÃO:
Como o sistema está escalonado podemos concluir que este é um sistema possível e indeterminado, cuja segunda equação nos diz que z = 2y -2 , logo, substituindo na primeira equação encontramos $$ x + y + 2 ( 2y -2 ) = 1 \Rightarrow x + 5y -4 = 1 \Rightarrow x = 5 – 5 y .$$ Portanto, a solução deste sistema linear será dada por $$ \left\{ \left( 5 – 5y , y , 2 – 2y \right) ; y \in \mathbb{R} \right\}.$$
b) \left\{ \begin{array}{lll} x + 3y -z & = & 4 \\ 3y+z & = & 1 \\ \end{array} \right. ;
SOLUÇÃO:
Como este sistema também está escalonado podemos concluir que este é um sistema possível e indeterminado, cuja segunda equação nos diz que z = 1 - 3y , logo, substituindo na primeira equação encontramos $$ x + 3y – (1-3y) = 4 \Rightarrow x + 6y -1 = 1 \Rightarrow x = 2 – 6 y .$$ Portanto, a solução deste sistema linear será dada por $$ \left\{ \left(2-6y , y , 1-3y \right) ; y \in \mathbb{R} \right\}.$$
c) \left\{ \begin{array}{lll} 2x + y + z & = & 5 \\ 3x-y-2z & = & -2 \\ x + 2y - z & = & 1 \\ \end{array} \right. ;
SOLUÇÃO:
Escalonando o sistema encontramos:

Logo, o sistema é possível é determinado e sua solução será dada por x = 1 , y = 1 \text{ e } z = 2 .
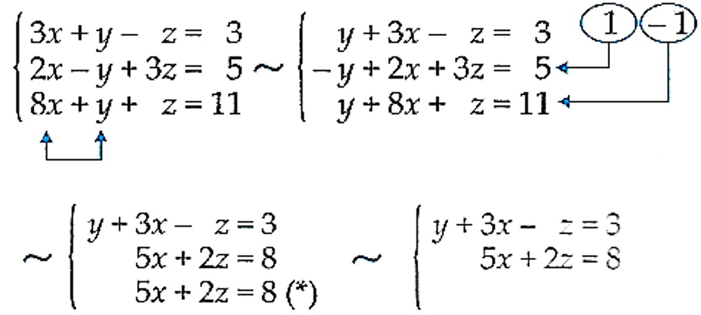
d) \left\{ \begin{array}{lll} 3x + y - z & = & 3 \\ 2x-y+3z & = & 5 \\ 8x + y + z & = & 11 \\ \end{array} \right. ;
SOLUÇÃO:
Escalonando o sistema linear encontramos:

Portanto teremos um sistema possível e indeterminado com sulção geral dada por $$ \left\{ \left( \frac{8 – 2z}{5} , \frac{-9 +6z}{5} , z \right) ; z \in \mathbb{R} \right\}.$$
Apoie Nosso Trabalho:
Apoie nosso trabalho fazendo um pix de qualquer valor: Chave Pix: 06713646697
e) \left\{ \begin{array}{lll} 2x + 5y + z & = & 5 \\ x+2y-z & = & 3 \\ 4x + 9 y - z & = & 8 \\ \end{array} \right. ;
SOLUÇÃO:
Escalonando o sistema linear encontramos:

Portanto temos um sistema impossível, pois a terceira equação gera a “igualdade” 0 = -3 .
3) Resolver por Escalonamento o sistema \left\{ \begin{array}{lll} x + y + z & = & 2 \\ x-y-z & = & -3 \\ 2x + y + 2 z & = & 1 \\ 3x + 2y + 3 z & = & 3 \\ \end{array} \right. .
SOLUÇÃO:
Escalonando o sistema acima encontramos \left\{ \begin{array}{lll} x + y + z & = & 2 \\ -2y -2z & = & -5 \\ -y & = & -3 \\ -y & = & -3 \\ \end{array} \right. . Daí, y = 3, z = -\dfrac{1}{2} \text{ e } x = - \dfrac{1}{2} . Portanto, o sistema é possível e determinado, sendo \left( - \dfrac{1}{2} , 3 , - \dfrac{1}{2} \right) sua única solução.
4) Resolva o sistema: \left\{ \begin{array}{lll} x^2 + y^2 & = & 34 \\ -x^2 + y^2 & = & 16 \\ \end{array} \right. .
SOLUÇÃO:
Este sistema não é linear, pois as variáveis aparecem em segundo grau. Mas podemos introduzir as variáveis $$ u = x^2 \qquad v = y^2 $$ tomando-se então o sistema como $$ \left\{ \begin{array}{lll} u + v & = & 34 \\ -u + v & = & 16 \\ \end{array} \right. $$ e usando o método da adição encontramos a solução única deste segundo sistema como sendo $$ u= 9 , \qquad v = 25 .$$ Daí, obtemos que $$x^2 = 9 \Rightarrow x = \pm 3; \qquad y^2 = 25 \Rightarrow y = \pm 5.$$ Há, portanto, 4 soluções para o sistema: $$ (3,5); (3,-5); (-3,5); (-3,-5).$$
| Livro referência deste artigo sobre a Eliminação Gaussiana (ou Escalonamento): “Álgebra linear e suas aplicações”, de Gilbert Strang. |
| Livro referência deste artigo sobre a Regra de Cramer: “Álgebra linear”, de Alfredo Steinbruch e Paulo Winterle. |
Leia Mais:
- Sistemas Lineares de Ordem 2: Métodos da Adição e da Substituição
- Sistemas Lineares mxn: Eliminação Gaussiana ou Escalonamento
- Sistemas Lineares: Forma Matricial e a Regra de Cramer
- Determinante de Matrizes | As Regras de Sarrus, Laplace, Vandermonde e Chió
- Inversão de Matrizes | Como calcular inversa de uma matriz?


