Um guia completo de como resolver sistemas lineares, usando a eliminação gaussiana ou escalonamento. Aprenda a resolver seu sistema de equações lineares com facilidade e confiança!
Resolver sistemas lineares pode ser uma tarefa confusa, mas com orientação e prática adequadas é possível até se divertir com o estudo. Neste tutorial, você aprenderá como resolver sistemas de equações lineares usando a Eliminação Gaussiana, conhecida também como escalonamento, dando a você a confiança necessária para lidar com qualquer sistema linear com facilidade.
| Livro referência deste artigo sobre a Eliminação Gaussiana (ou Escalonamento): “Álgebra linear e suas aplicações”, de Gilbert Strang. |
O que é um Sistema Linear?
Um sistema de equações lineares ou sistema linear é um conjunto formado por duas ou mais equações lineares. Um sistema linear pode ser representado na forma: $$ \left\{ \begin{array}{lll} a_{11} x_1 + a_{12} x_2 +…+a_{1n} x_n & = & b_1\\ a_{21} x_1 + a_{22} x_2 +…+a_{2n} x_n & = & b_2\\ \vdots \\ a_{m1} x_1 + a_{m2} x_2 +…+a_{mn} x_n & = & b_m\\ \end{array} \right. \qquad (1)$$ onde, cada um dos a_{ij}são os coeficientes, x_i são as incógnitas e b_i são os termos independentes. Uma sequencia de números (r_1,r_2,...,r_n), chamada é solução do sistema linear acima se satisfaz todas as equações do sistema ao mesmo tempo. Se m = n dizemos que o sistema linear é de ordem n .
EXEMPLO: Dado o sistema $$ \left\{ \begin{array}{lll} 2x-y+z & = & 1\\ x+2y & = & 6\\ \end{array} \right. $$ uma solução deste sistema é (0,3,4). Notemos que essa solução não é única: a terna \left( \dfrac{8}{5} , \dfrac{11}{5} , 0 \right) também é solução deste sistema.
Classificação de Sistemas Lineares
O número de soluções de um sistema linear determina a sua classificação de duas maneiras com relação à sua consistência:
- Sistema possível ou consistente: Quando tem pelo menos uma solução. Se tem uma única solução, o sistema é determinado. Se tem mais que uma solução, o sistema é indeterminado.
- Sistema impossível ou inconsistente: Se não admite qualquer solução. Dois sistemas são equivalentes se admitem a mesma solução. Dois sistemas S_1 e S_2 equivalentes são denotados por S_1 \sim S_2.
Como Fazer a Discussão (ou Estudo) de um Sistema Linear?
Suponhamos que um sistema tenha sido escalonado e, retiradas as equações do tipo 0 = 0 , restam p equações com n incógnitas.
(I) Se a última das equações restantes é $$ 0 x_1 + .\; . \; . + o x_n = \beta _p ; \qquad \left( \beta _p \neq 0 \right) $$ então o sistema é impossível;
Caso contrário, sobram duas alternativas:
(II) Se p = n o sistema é possível e determinado;
(III) Se p < n o sistema é possível e indeterminado;
OBSERVAÇÃO:
- Outra nomenclatura para um sistema possível ou consistente é sistema compatível. Logo, um sistema impossível ou inconsistente, também, pode ser referenciado como sistema incompatível.
- Em geral, sistemas lineares com um número maior de incógnitas do que equações só pode ser impossível ou possível e indeterminado.
EXEMPLO: Olhando novamente para o sistema $$ \left\{ \begin{array}{lll} 2x-y+z & = & 1\\ x+2y & = & 6\\ \end{array} \right. $$ podemos afirmar que ele é possível e indeterminado.
Sistemas Lineares: O Caso Geral
Chamamos de sistema linear m \times n ao sistema que possui m equações lineares e n incógnitas. Por exemplo:
- \left\{ \begin{array}{lll} x-2y +3z& = & 5\\ x+y-z & = & 2\\ \end{array} \right. é um sistema de 2 \times 3;
- \left\{ \begin{array}{lll} x+3y +-2z+t& = & 0\\ x+2y-3z+t & = & 2\\ x-y-z+t & = & 5\\ \end{array} \right. é um sistema de 3 \times 4;
- \left\{ \begin{array}{lll} x+2y& = & 1\\ x-y & = & 4\\ 2x-3y & = & 0\\ \end{array} \right. é um sistema de 3 \times 2.
Sistemas Homogêneos
Um sistema é dito homogêneo se todos os seu termos independentes são nulos. Por exemplo: \left\{ \begin{array}{lll} x+2y+z& = & 0\\ x-y -z& = & 0\\ 2x-3y +3z& = & 0\\ \end{array} \right. é um sistema homogêneo. Em um sistema homogêneo com n incógnitas, (0,0,0,0,…,0) é sempre solução do sistema e esta é chamada de solução trivial do sistema. Logo, todo sistema homogêneo é possível ou consistente.
Sistemas Lineares Equivalentes
Seja S um sistema linear de m equações com n incógnitas. Interessa-nos considerar os sistemas que podem ser obtidos de S de uma das seguintes maneiras
- Permutar duas linhas de S ;
- Multiplicar uma linha de S por um número diferente de zero;
- Somar a uma linha S uma outra linha de A multiplicada por um número.
Se um sistema linear S_1 puder ser obtido de S através de um número finito destas operações, diz-se que S_1 é equivalente S e escreve-se S_1 \sim S . Para esta relação valem as propriedades reflexiva (ou seja, S \sim S ), simétrica (ou seja, S \sim S_1 \Leftrightarrow S_1 \sim S ) e transitiva (ou seja, S \sim S_1 , S_1 \sim S_2 \Rightarrow S \sim S_2 ).
Desta forma, criamos um mecanismo extremamente útil para a procura de soluções de um sistema linear S . Como sistemas equivalentes possuem a mesma solução, podemos procurar um sistema linear equivalente a S e que seja “mais simples”, mas precisamente, procuraremos por sistemas escalonados.
Um sistema escalonado é um sistema que possui pelo um coeficiente não nulo em cada equação e o número de coeficientes nulos em cada equação cresce de equação para equação.
EXEMPLO:
- \left\{ \begin{array}{lll} x+y+z& = & 4\\ y -z& = & 5\\ 3z& = & 3\\ \end{array} \right. É um sistema chamado de escalonado que possui solução igual a (0,3,1); e
- \left\{ \begin{array}{lll} x+3y-z& = & 4\\ 3y +z& = & 1\\ \end{array} \right. é um sistema escalonado com solução igual a \left(3+2z, \dfrac{1-z}{3}, z \right).
EXEMPLO: Consideremos o sistema $$ \left\{ \begin{array}{lll} x-y+z& = &1 \\ 2x-y+z& = & 4\\ x – 2y + 2z& = & 0\\ \end{array} \right. $$ Para estudar este sistema linear deve-se aplicar a ele uma série de operações elementares visando fazer com que o número de coeficientes iniciais nulos seja maior em cada equação (a a partir da segunda) do que na precedente da seguinte forma:
- Multiplicamos a primeira equação por -2 e somamos o resultado com a segunda equação: $$ \left\{ \begin{array}{rll} x-y+z& = &1 \\ y-z& = & 2\\ x – 2y + 2z& = & 0\\ \end{array} \right. $$
- Multiplicamos a primeira equação por -1 e somamos com a terceira: $$ \left\{ \begin{array}{rll} x-y+z& = &1 \\ y-z& = & 2\\ -y + z& = & -1\\ \end{array} \right. $$
- Somamos a segunda equação com a terceira: $$ \left\{ \begin{array}{rll} x-y+z& = &1 \\ y-z& = & 2\\ 0& = & 1\\ \end{array} \right. $$
Como este último sistema é impossível, podemos concluir que o sistema inicial também é impossível.
Como Resolver Sistemas Lineares Usando Escalonamento?
O problema central da álgebra linear é a solução de equações lineares. O caso mais importante, e o mais simples, se dá quando o número de incógnitas é igual ao número de equações. Existem métodos de solução deste tipo de sistema linear envolvendo matrizes (inversas ou a regra de Cramer), mas até mesmo as fórmulas mais sofisticadas envolvendo determinantes se torna um desastre na prática, principalmente quando se trabalha com quantidades grandes de equações e variáveis; neste caso, o custo computacional é gigantesco.
Até por isso, o escalonamento, ou a Eliminação Gaussiana é um algoritmo constantemente usado para resolver este qualquer tipo de sistema linear e entender este processo é o nosso objetivo a partir de agora. Pode-se provar que todo sistema linear é equivalente a um sistema escalonado. Desta forma, basta que saibamos lidar com os sistemas escalonados e saibamos reduzir um sistema qualquer a um escalonado para usar a eliminação gaussiana. Vamos exemplificar este processo.
Para ilustrar a eliminação gaussiana vamos começar com sistema linear de ordem 3, dado por $$ S = \left\{ \begin{array}{lll}2u+v+w& = & 5 \\ 4u-6v & = & -2\\ -2u+7v+2w& = & 9 \\ \end{array} \right. $$ O método começa subtraindo múltiplos da primeira equação das demais, tal que eliminemos a variável u das demais. Neste caso específico, precisamos:
- multiplicar a primeira equação por 2 e subtrair da segunda equação;
- somar a primeira e a terceira equações.
O resultado será o sistema de equações equivalente dado por $$ S = \left\{ \begin{array}{lll}2u+v+w& = & 5 \\ -8v-2w & = & -12\\ 8v+3w & = & 14 \\ \end{array} \right. $$ O coeficiente 2 que multiplica a variável u na primeira equação é conhecido como primeiro pivô. A eliminação se baseia em constantemente dividir o pivô pelo números abaixo dele nas demais equações, para encontrar os multiplicadores certos.
Como segundo passo da eliminação, ignoraremos a primeira equação deste novo sistema e olharemos para as novas segunda e terceira equações. Ambas envolvem apenas as variáveis v e w e a eliminação pode ser aplicada à elas. O pivô neste segundo passo é - 8 , e somando a segunda equação com a terceira obtermos o sistema escalonado $$ S = \left\{ \begin{array}{lll}2u+v+w& = & 5 \\ -8v-2w & = & -12\\ w & = & 2 \\ \end{array} \right. $$
Agora podemos perceber uma ordem óbvia para resolver este sistema linear. A última equação nos dá w = 2. Substituindo na segunda equação, obtemos -8v -4 =-12 , logo v = 1. Por fim, substituindo na primeira equação, temos 2u + 1 +2 = 5, logo u = 1.
Lembrando que estas eliminações progressivas produziram os pivôs 2, -8 e 1.
OBSERVAÇÃO: Por definição os pivôs não podem ser zero uma vez que precisaremos dividir as equações lineares por eles em seus respectivos passos do processo da eliminação gaussiana.
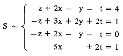
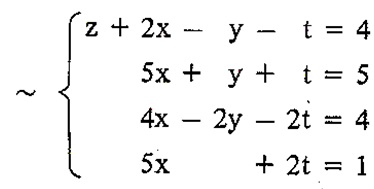
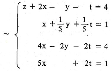
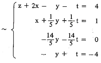
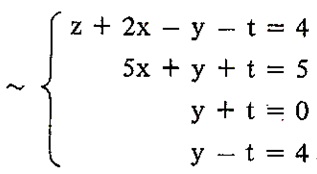
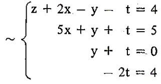
EXEMPLO: Vamos discutir o sistema linear: $$ S = \left\{ \begin{array}{lll} 2x-y+z-t& = & 4 \\ 3x + 2y -z + 2t& = & 1\\ 2x -y – z -t & = & 0\\ 5x +2t & = & 0\\ \end{array} \right. $$
Usando a mesma lógica da aplicação das operações elementares que fizemos no exemplo anterior, podemos encontrar a sequência abaixo de sistemas equivalentes ao sistema S :
Apoie Nosso Trabalho:
Apoie nosso trabalho fazendo um pix de qualquer valor: Chave Pix: 06713646697






A partir deste sistema escalonado podemos encontrar $$ t = \frac{4}{-2} = -2 $$ $$ y+ (-2) = 0 \Leftrightarrow y = 2$$ $$ 5x+2 -2 = 5 \Leftrightarrow x = 1 $$ $$ z +2 -2 +2 = 4 \Leftrightarrow z = 2 .$$ Portanto, (1,2,2,-2) é a única solução de S , pois é a única solução do sistema escalonado. Portanto, este é um sistema possível e determinado.
EXEMPLO:
Vamos discutir e resolver o sistema linear: $$ S = \left\{ \begin{array}{lll}x – 2y – z & = & 1 \\ 2x + y -3z& = & 0\\ x -7y & = & 3\\ \end{array} \right. $$ Através de operações elementares como feitas anteriormente encontramos os seguintes sistemas equivalentes:
Daí, tiramos que $$ S = \left\{ \begin{array}{lll}x & = & \frac{1}{5} + \frac{7}{5} z \\ y& = – \frac{2}{5} + \frac{1}{5} z\\ \end{array} \right. $$ Portanto, este é um sistema possível e indeterminado e seu conjunto solução é dado por $$ \left\{ \left( \frac{1}{5} + \frac{7}{5} z , – \frac{2}{5} + \frac{1}{5} z , z\right) | z \in \mathbb{R} \right\}. $$


