Como Elaborar um Estudo Estatístico Descritivo?

A estatística descritiva é usada para descrever as características básicas dos dados em um estudo. Eles fornecem resumos simples sobre a amostra e as medidas. Junto com a análise gráfica simples, eles formam a base de praticamente todas as análises quantitativas de dados.

A Estatística Descritiva é usada para apresentar descrições quantitativas de uma forma gerenciável. Em um estudo de pesquisa, podemos ter muitas medidas. Ou podemos medir um grande número de pessoas em qualquer medida.

As estatísticas descritivas nos ajudam a simplificar grandes quantidades de dados de uma maneira sensata. Cada estatística descritiva reduz muitos dados em um resumo mais simples. Afinal, com estatísticas descritivas, você está simplesmente descrevendo o que é ou o que os dados mostram.

Como Elaborar um Estudo Estatístico Descritivo?

Vamos efetuar um estudo estatístico para o salário de 65 funcionários da empresa P&R. Os dados já estão agrupados em uma distribuição de freqüência na tabela abaixo, e ilustrada por um gráfico de barras:

Elaborando um estudo estatístico

Primeiramente, vamos elaborar uma distribuição de freqüência acumulada percentual:

Elaborando um estudo estatístico Distribuição de Frequências Acumuladas

Agora, vamos encontrar o salário médio dos 65 funcionários da empresa P&R . Para isso necessitamos encontrar  os pontos médios de cada classe:

Elaborando um estudo estatístico médias

O salário médio dos 65 funcionários desta empresa é de R$ 7 976,42.

Agora precisamos calcular o desvio padrão desta média.

Elaborando um estudo estatístico desvio padrão

O desvio-padrão é aproximadamente 678 reais. Assim, a média é um bom representante para os nossos dados.

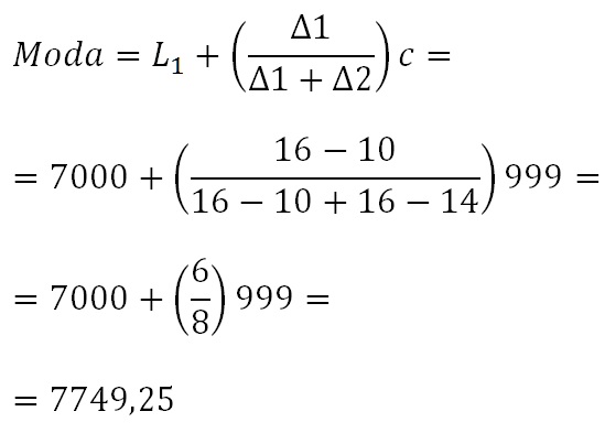
Vamos calcular o salário modal:

Elaborando um estudo estatístico salário modal


Apoie Nosso Trabalho:

Apoie nosso trabalho fazendo um pix de qualquer valor: Chave Pix: 06713646697


Desta forma, o salário que mais repete é o salário de R$ 7 749,25.

CONCLUSÃO (ANÁLISE TEXTUAL):

Como podemos perceber nos gráficos abaixo, na empresa P&R os 65 funcionários recebem em média um salário de R$ 7 976,42 com um desvio-padrão da média de 678 reais sendo que o salário de maior freqüência é  de R$ 7 749,25.

A grande maioria dos funcionários (16) recebe entre R$7 000,00 e R$ 7 999,00 de salário, faixa salarial onde se encontra a média e a moda dos salários.

Todos recebem entre R$ 5000,00 e R$ 11999,00, sendo que apenas 10,77% dos funcionários recebem acima de R$10 000,00  e 52,31%  dos funcionários recebem abaixo de R$ 7 999,00.

Gráfico de Frequência Acumulada dos salários de 65 funcionários da empresa P&R
Gráfico de Frequência Acumulada dos salários de 65 funcionários da empresa P&R
Análise Gráfica
Gráfico dos Salários de 65 Empresários da P&R

Leia Mais:

Sugestão de Livros Sobre o Tema:

Banner do Curso Completo de Matemática destacando desconto de R$297 por R$47, com botão amarelo 'Quero Garantir Minha Vaga' e opções de pagamento em até 12 vezes no cartão.

2 comentários em “Como Elaborar um Estudo Estatístico Descritivo?”

  1. Pingback: Distribuição de Frequências e Histograma | Matemática Simplificada

  2. Pingback: O que são Séries de Potências? Definição, Convergência e Exemplos.

Deixe um comentário

O seu endereço de e-mail não será publicado. Campos obrigatórios são marcados com *

Este site utiliza o Akismet para reduzir spam. Saiba como seus dados em comentários são processados.

PRECISANDO DE AJUDA COM SEUS EXERCÍCIOS SOBRE ESTE CONTEÚDO? Entre em contato com a gente via WhatsApp clicando aqui.